日期:2018-05-24 编辑整理:浙江自考信息网
全国2008年4月高等教育自学考试
概率论与数理统计(二)试题
课程代码:02197
一、单项选择题(本大题共10小题,每小题2分,共20分)
在每小题列出的四个备选项中只有一个是符合题目要求的,请将其代码填写在题后的括号内.错选、多选或未选均无分.
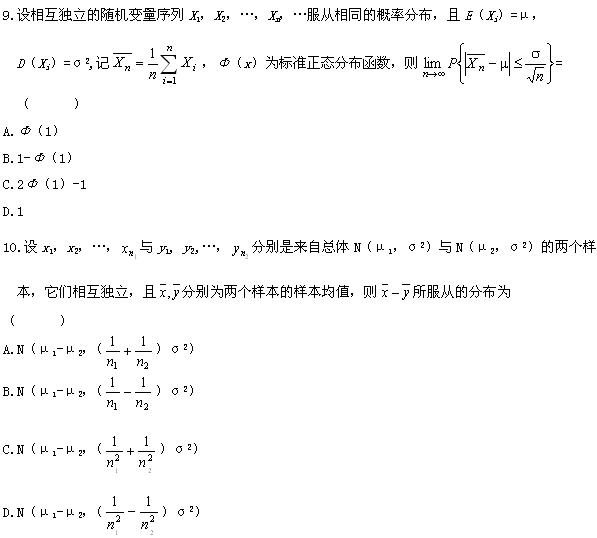
1.一批产品共10件,其中有2件次品,从这批产品中任取3件,则取出的3件中恰有一件次品的概率为( ) 







五、应用题(10分)
30.设有两种报警系统Ⅰ与Ⅱ,它们单独使用时有效的概率分别为0.92与0.93,且已知在系统Ⅰ失效的条件下,系统Ⅱ有效的概率为0.85,试求:
(1)系统Ⅰ与Ⅱ同时有效的概率;(2)至少有一个系统有效的概率.
浙江自考网声明:
1、由于各方面情况的调整与变化,本网提供的考试信息仅供参考,考试信息以省考试院及院校官方发布的信息为准。
2、本网信息来源为其他媒体的稿件转载,免费转载出于非商业性学习目的,版权归原作者所有,如有内容与版权问题等请与本站联系。联系邮箱:952056566@qq.com